rc香蕉视频三级片频率计算
发布时间:2020-06-20 10:59:04
浏览次数:7832
香蕉视频三级片是指被研究的串联电路部分的电压和电流达到同相,即电路中电感的感抗和电容的容抗相等,从而使被研究的电路表现出纯电阻特性。给定端电压,最大电流将出现在所研究的电路中,电路中消耗的有功功率也是最大的。
1.谐振的定义:电路中L、
C的两个分量的能量相等。当电路中的一个电抗元件释放能量时,另一个电抗元件必须吸收相同的能量,也就是说,在两个电抗元件之间将产生能量脉动。
2.电路必须有电感L和电容C才能产生谐振。
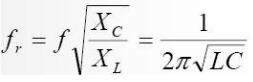
3.对应于共振的频率是共振频率,或共振频率,用F r表示
4.香蕉视频三级片电路的条件如图1所示:当q=qi2xl=i2xc时
当XL=XC时,这是R-L-C串联电路谐振的条件。
香蕉视频三级片电路的特性;
(1)电路阻抗最小,为纯电阻。即,z=rjxljxc=r
(2)电路电流最大。那就是
(3)电路功率因数为1。那就是
(4)电路的平均功率最大。即P=I2R
(5)电路的总虚拟功率为零。即ql=qqt=qlqc=0
6.香蕉视频三级片电路的频率:
(1)公式:
(2)当r-l-c串联电路想要产生谐振时,可以调节电源频率f、电感l或电容c
使其达到谐振频率f r,而不考虑电阻r。
香蕉小视频在线观看电力是国内专业的电力承装(修、试)资质及电力91香蕉视频APP下载安卓研发生产企,专业针对不同电压等级的试验需求,定制不同配置的电气试验产品。香蕉小视频在线观看电力24小时为您服务:400-060-1718。
欢迎关注微信公众号:香蕉小视频在线观看电力
